生活应用 第104页

pg下载 逆向思维:解锁生活难题的神奇钥匙(附精选案例)

pg下载 逆向思维:解锁生活难题的神奇钥匙(附精选案例)

生活应用 58
在咱们日常的生活里头,当面对问题之际,好多人惯于依照次序、依照常理去解决问题,这样的思维模式常常致使我们遭遇固定模式作用的局限。可是呢,逆向思维作为一种打破常规的思考办法,能够助力我们摆脱思维的束缚,寻觅到常规思维视线之外的解决办法。逆向思维不但能于困境里寻得新的出路,而且还能够协助我们在人际往来、职场抉择、...
pg下载渠道 生活照是指什么样的照片 生活照有什么特点

pg下载渠道 生活照是指什么样的照片 生活照有什么特点

生活应用 54
生活照是指什么样的照片 生活照有什么特点 生活照强调的那些照片,是贴近真实之生活的,可不是艺术照、证件照、写真照、或者大头贴的诸般模样。生活照的类型存在不少pg下载麻将胡了A.旗舰厅进体育.cc,像出行生活照、校园生活照、旅游生活照与居家生活照等情况。对于“生活照究竟是指何种照片”,倘若大家有兴趣,那就能够继...
pg下载麻将胡了安卓专属特惠.安卓应用版本.中国 “非牛顿流体”:不用你懂,只要你会玩

pg下载麻将胡了安卓专属特惠.安卓应用版本.中国 “非牛顿流体”:不用你懂,只要你会玩

生活应用 57
通讯员 潘高升 记者 李维和 对于“非牛顿流体”,倘若并非是专业从事相关领域的人士,究竟有着多少数量的人可得在第一时间去对这个名词作出定义呢? 上星期日,科学松果会举办了相关活动,其那神奇校车pg下载麻将胡了,所定的活动主题,竟是一个冷门的词汇 。 设置此次“超纲”课程的,乃是来自上海交通大学的王永亭教授,她...
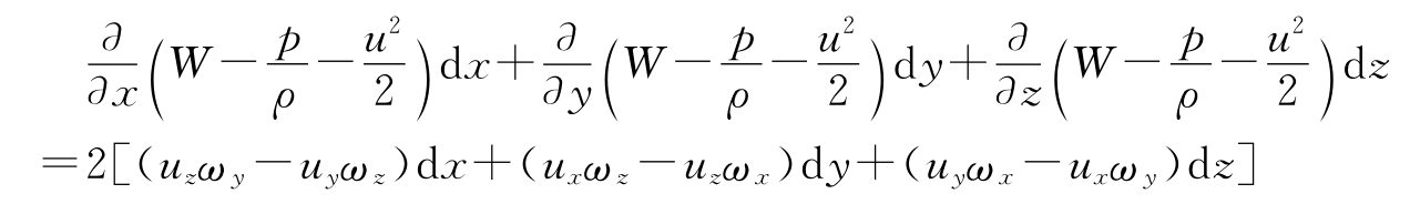
pg下载 4.2 伯努利方程

pg下载 4.2 伯努利方程

生活应用 60
4.2 伯努利方程 按照欧拉运动微分方程的葛罗米柯 - 兰姆形式(二),于各异的限定状况下进行积分,能够得出伯努利积分以及欧拉积分。 4.2.1 伯努利积分 在伯努利积分处于前面那3个限定条件的情形下,进而再增添1个处于沿流线开展积分的这般条件,把式(4.7)里3个式子的两边分别去乘流线上任意一个微元线段dl...
pg下载赏金下载 不可思议的非牛顿流体

pg下载赏金下载 不可思议的非牛顿流体

生活应用 67
在国内某个亲子节目当中,节目组的导演给小朋友们提出了一个难题,那就是怎样用口香糖把椰子砸开,只见小朋友们把口香糖捏成了尖锥体,然后用力将椰子快速砸向口香糖,于是椰子就被砸开了,看到这样的一幕,你肯定会觉得节目组是为了节目效果才做的虚假实验,实际上这是一个利用了非牛顿流体特性的实验,读完这篇文章之后,你会一下子...
pg下载 不可思议的非牛顿流体

pg下载 不可思议的非牛顿流体

生活应用 66
在国内一档亲子节目当中,节目组的导演给小朋友们出了一道难题,其内容为如何运用口香糖去砸开椰子,只见小朋友们把口香糖捏成尖锥体形状,接着用力将椰子快速砸向口香糖,随后椰子就被砸开了,瞧见到这一幕场景,你肯定会觉得节目组是出于节目效果而进行的虚假实验,实际上这是一个利用了非牛顿流体特性的实验,读完这篇文章以后你会...
pg下载麻将胡了A.旗舰厅进体育.cc 什么是伯努利定律

pg下载麻将胡了A.旗舰厅进体育.cc 什么是伯努利定律

生活应用 86
流体力学里有个原理很是重要,被称作伯努利定律,它主要用来描述流体流动之时pg下载,流体的压力、速度以及高度之间存在的关系,此定律是瑞士数学家丹尼尔·伯努利在1738年所提出的,在航空、水力学、气象学等好些领域都有着广泛应用 。 一、伯努利定律的总结 伯努利定律表明,处于理想流体,就是那种不可压缩、没有粘性的流...
pg下载官方认证 纳米的用途是啥

pg下载官方认证 纳米的用途是啥

生活应用 61
纳米的用途: 电子工业领域,存在着这样的情况,那就是借助纳米技术制作而成的电子器件,其具备的性能相当出色,并且在功耗方面能够实现大幅度的降低 。 2、交通方面,纳米卫星能够随时随地为驾驶员供给交通信息,以此提升驾驶的安全性,纳米陶瓷能够让飞机飞行得更高,纳米陶瓷还能让汽车行驶得更快,纳米材料能够提高交通工具的...
pg下载官方认证 生活中哪些是纳米技术(日常身边的纳米技术有哪些应用)

pg下载官方认证 生活中哪些是纳米技术(日常身边的纳米技术有哪些应用)

生活应用 60
1959年12月,物理学家理查德·费曼发表了演讲,演讲名为底部充足的空间,他此次演讲的主题是关于在微小等级上操纵以及控制事物的相关问题,在这次演讲里,费曼对于在针头上刻字母的技术并不满足,因为那在当时已然是极为前沿的技术了,他提出疑问:我们为何不能够把整本的百科全书书写在针头上[?]。 他给出了那个解决此问题...