生活应用 第39页

pg下载赏金下载 郑州地铁晚8点后1分钱乘车,能否带动夜经济发展?

pg下载赏金下载 郑州地铁晚8点后1分钱乘车,能否带动夜经济发展?

生活应用 49
界面新闻编辑 | 界面新闻得知来自郑州地铁方面的消息,为了给城市“夜经济”提供助力,自6月1日起,在每日20时这个时间点(包含20时)之后,乘客能够通过商易行APP、支付宝小程序、微信小程序、银联云闪付、龙支付这些其中任一渠道进行扫码或者刷脸来乘坐地铁,并且可以享受花1分钱乘坐地铁优惠待遇。 在公交领域范围内...
pg下载通道 如何洞察生命“内流场”? 陕西一高校团队精准量化血液流变

pg下载通道 如何洞察生命“内流场”? 陕西一高校团队精准量化血液流变

生活应用 46
中新网西安2月16日电 (记者 阿琳娜),当缓缓地去搅动一碗处于稠状的淀粉水时,它呈现为如同液体那般的顺滑,展现出“软”的特性,然而要是用力迅速地搅拌甚至拍打它,它就会转变成像固体一样,给人带来一种“硬”的触感,这便是非牛顿流体的“剪切增稠”特性,即在强力作用之下呈现为固体,在弱力或者无力作用之下呈现为液体。...
pg下载赏金下载 斐波那契数列和股票时间周期

pg下载赏金下载 斐波那契数列和股票时间周期

生活应用 45
本文经由公众号越声情报整理,该公众号为 ystz927,这仅作参考之用,并不构成具体的投资方面的建议给到大家。要是存在需要去进行操作的情况,请注意对仓位予以控制,风险需自行承担,特此说明。 本文存在两个主角,它们分别是斐波那契数列,以及股票分析。斐波拉契数列是极为漂亮、十分和谐的数列,具体呈现为1、1、2、3...
pg下载 斐波那契数列趣谈

pg下载 斐波那契数列趣谈

生活应用 52
点击上方“数学英才”可以订阅哦! 通常来讲,人们所觉得的斐波那契数列的产生是源于兔子的繁殖情形:要是最开始存在一对兔子,它们每个月会生育一对兔子,而出生后的小兔在过了一个月后又着手生育,且繁殖状况和最开始的那对兔子一模一样,那么一年之后会有多少对兔子呢? 那么答案是,每月之内兔子的总数目能够通过下面这样的...
pg下载麻将胡了A.旗舰厅进体育.cc 大自然的隐秘技能:神奇的Fibonacci数列

pg下载麻将胡了A.旗舰厅进体育.cc 大自然的隐秘技能:神奇的Fibonacci数列

生活应用 39
科学也跨界,它总以意想不到的方式,无处不在。 看似刻板生硬一动不动的数列当中能够展示出光彩照人绚烂夺目的科学美感。不相信吗?那么就跟中国科学院物理研究所里面的曹则贤老师一块儿来知晓一下斐波那契数列的奇妙变幻吧! 没有穷尽个的自然数。把某些按一定规律排列于一排的数,就形成了一个数列。用函数来进行表示,呈现的便...
pg下载官方认证 斐波那契数列的自然之美

pg下载官方认证 斐波那契数列的自然之美

生活应用 38
兔子的理想繁殖模型1.1 背景 意大利的数学家,名叫列奥纳多·斐波那契(Leonardo Fibonacci),在他所著的《计算之书》(Liber Abaci, 1202)里头,提出了一个理想化的兔子繁殖方面的问题,目的在于展示印度 - 阿拉伯数字系统的优越性。 1.2 理想化假设1.3 逐月推演 → 总对数...
pg下载麻将胡了 斐波那契数列:藏在自然与数学里的神奇密码

pg下载麻将胡了 斐波那契数列:藏在自然与数学里的神奇密码

生活应用 37
一、起源:一个“兔子问题”引发的数列 在1202年这个时间点最先出现的时候,是意大利数学家莱昂纳多・斐波那契(Leonardo Fibonacci),于《算盘全书》里提出了一个看上去好像比较简单那般的问题:。 假定有一对刚诞生的兔子,这对兔子是一公一母的状态,从第3个月份开始,每个月都能够生下一对小兔子,这...
pg下载麻将胡了安卓专属特惠.安卓应用版本.中国 炒股背后的数学——斐波那契数列,判断市场变盘相对有效!

pg下载麻将胡了安卓专属特惠.安卓应用版本.中国 炒股背后的数学——斐波那契数列,判断市场变盘相对有效!

生活应用 38
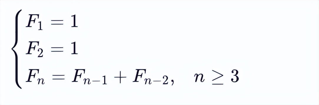
斐波那契数列,也就是所谓的黄金分割数列,因数学家列昂纳多·斐波那契以兔子繁殖作为例子而被引入pg下载麻将胡了A.旗舰厅进体育.cc,所以又被称作“兔子数列”,它是这样一个数列:1、1、2、3、5、8、13、21、34、……在数学范畴内,斐波纳契数列是以如下递推方式来定义的:F(1)=1,F(2)=1,F(3)...
pg下载 斐波那契数列,数学界中神一样的存在

pg下载 斐波那契数列,数学界中神一样的存在

生活应用 41
你可曾思考过,为何在我们的自然界内,有些事物看上去会那般的美好且宜人、协调且美妙?为何有些艺术创作品,瞧上一睹便全然足以拨动听拨我们那内心的灵魂与情感的弦音?而这些诸多疑问的根本解答,事实上全都关联于一个相当奇妙无比的数学方面的现象,此一现象便是那特别神奇的斐波那契数列。 于1202年,由意大利数学家莱昂纳...
pg下载 分享一个神奇的操作系统——斐波那契+MACD,每一波都有20%以上的收益!

pg下载 分享一个神奇的操作系统——斐波那契+MACD,每一波都有20%以上的收益!

生活应用 51
那个被称作兔子数列,或者黄金分割数列的斐波那契数列,所指的是这样的:一个数列。 零,一,一,二,三pg下载,五,八,十三,二十一,从第三项开始,它每一项都等于前面两项的和。 为何是兔子数列呢,我们进行这样的假设,兔子在出生两个月之后具备繁殖能力,一对兔子每个月能够生出一对小兔子,第一个月我们是拥有一对小兔子,...