牛顿第二定律是力和运动的“桥梁”,学习加速度应掌握4个关键点
加速的学习本质上应该理解加速度的大小和方向,并且可以取决于速度变化与时间的比率。牛顿的第二定律是力量和运动之间的纽带。掌握牛顿的第二条运动定律可以更好地理解加速的深刻含义。
牛顿三个法律的来源
1。物体受到地球的中心力的约束
1687年,艾萨克·牛顿(Isaac Newton)的“自然哲学数学原则”出版了。在有关“定义”的书中,牛顿提出,由于地球的中心力,如果加农炮力不足,则壳将以弧形曲线落在地面上。如果炮力足够大,壳将圆形的地面圆形。

曲线运动
2。牛顿三个法律的来源
牛顿在《自然哲学的数学原理》一书中的“公理或运动法则”部分中提出并讨论了牛顿三个法律的来源。牛顿的第一定律也称为《惯性法》:“除非将武力施加到它上,否则每个对象都会继续保持静止状态或以恒定的速度行驶,迫使其改变这种状态。”牛顿的第二定律是:“运动的变化与额外的力量成正比,并发生在施加力的直线方向上。”牛顿的第三定律,也称为行动法则和反应法则:“每个行动总是对它都有平等的反应;换句话说,两个对象之间的相互作用始终相等,并且每个点都与另一侧相同。”

牛顿的第二定律
加速度的定义
加速度是速度变化与发生时间的变化之比,加速度的方向和速度变化的方向是相同的。加速度是一个矢量,具有大小和方向。加速度主要用于古典物理学,通常由字母A表示,国际单位系统中的单位是每二次二次(m/s2)。

汽车运动加速
在古典力学中,牛顿的第二定律表明“力与加速度成正比”,这也称为“加速法”。假设对象的外力为零,则加速度为零,并且速度是恒定的。动量是质量和速度的产物,它满足了动量的保护。
几个常见的运动加速度
1。恒定线性运动 - 加速0
当对象保持在同一条线上并以相同的速率移动时,加速度为零,速度不会改变(大小和方向不会改变)。在特殊情况下,如果速度为零并且加速度为零,则粒子将是固定的。

恒定线性运动
2。速度变化的恒定线性运动 - 恒定加速度
在均匀速度变化的线性运动中,加速度需要保持恒定,即加速度的大小和方向不会改变。对于对象,当加速度方向与初始速度相同时,进行均匀的加速运动。当加速度方向与初始速度相同时,对象会执行均匀的减速运动。

速度时间表和位移时间表的均匀速度线性运动的时间表
游离秋季运动的重力加速度:初始速度为0,加速度始终是垂直向下的重力加速度g。自由秋季运动是统一改变速度线性运动的特殊情况。这是一个理想的抽象模型,当物体在地面附近并且空气阻力远小于其重力时,可以被视为自由秋天运动。

牛顿被一个苹果击中,深思熟虑
3。简单的谐波运动 - 加速符合正弦或余弦功能
在简单的谐波振动中,物体运动的加速度符合正弦或余弦功能。在生活中,恒定的加速度将受到严格的影响。如果您开车以恒定的加速开始,那将是非常不舒服的。如果要乘坐的电梯的加速度与正弦曲线一致,那么人们就不会受到影响,并且这种电梯在人们中非常受欢迎。一些电梯使用恒定的加速度,目前他们开始开始时会感到抖动。

简单而和谐的运动
4个要点
1。对象的加速度与初始速度方向不同,因此运动形式不同。
当加速度方向和运动方向在同一直线上时,对象将以直线移动;当加速度方向和初始速度方向在一定角度(但不是直角)时,对象在曲线中移动;当加速度方向和速度方向在90度时,物体以圆运动移动。当加速度方向和初始速度方向成直角时,加速度方向和大小保持不变,并且对象以“相同级别的平坦倾斜或平坦倾斜运动”移动。

平坦的投掷运动
2。加速的五种计算和预防措施
1.加速度的芳香计算公式
加速任意计算公式
请注意,此公式适用于任何计算公式。解决问题时很少使用它,但必须从加速的角度来理解。该计算公式表明,速度和加速度方向的变化是相同的。
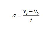
2。计算均匀可变速度线性运动的加速度计算

计算均匀可变线性运动加速度的计算公式
请注意,此计算公式仅对均匀的速度移动(自由秋季运动除外)感到满意。该公式是矢量计算公式,有必要考虑初始速度和最终速度的方向是否一致。
3。牛顿第二定律的加速计算
牛顿第二定律中的加速计算公式
在高中课程中,该计算公式主要适用于恒力的效果,而力是联合力的大小,牛顿的第二定律是力与运动之间的连接之间的桥梁。通过牛顿的第二定律,对象所承受的力量与物体运动的速度有关。这样,我们可以研究动能,能量转换,物体完成的工作以及对象满足动量的保护定律。
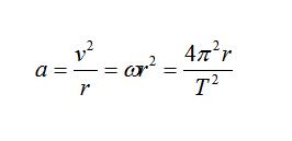
4。均匀圆运动加速度的计算

循环运动加速度的计算公式
请注意,此计算公式适用于均匀的圆形运动,仅计算正常加速度的幅度。正常加速度主要改变速度的方向。加速度的方向不断变化,加速度的方向始终垂直于速度方向。该公式被广泛用于磁场中引力和带电颗粒的运动。请注意选择适当的公式,并根据问题,半径,角速度和工作期的已知条件选择适当的公式。
5。加速度的特殊示例 - 重力加速度
在高中物理学中,加速是一个特殊情况,在大多数情况下,假定重力加速度保持不变。地球上物体的重力加速是由对象要受的普遍重力提供的。

重力加速度的近似计算
根据普遍的重力,地球表面的重力加速度大约等于重力常数的产物开yun体育官网入口登录app,而地球的质量则除以地球半径的平方,因此地球表面某个区域中的重力加速度几乎是一个恒定值。在遇到重力加速度时,要持续价值就足够了,并且不会将其与其他运动情况的加速度混淆。
3。加速度的矢量合成和分解 - 遵循平行四边形和三角形定律
加速度是向量,其合成和分解需要考虑大小和方向。在光滑的水平平面上,向前移动的物体的速度会改变(大小和方向)。不同的加速度方向将导致对象的不同运动。同样,力的大小是不同的,引起的加速度也不同,最终结果也不同。从向量的叠加中可以看出。加速度的叠加和分解分别遵循平行四边形和三角形定律。加速的形成是由于力引起的,其合成类似于力。

加速的合成类似于力的合成
4。测量加速的三种方法
解决方案1:使用扣篮计时器测量加速度
该计划直接来自教科书,属于基本类型。通过键入计时器生产的纸带,您可以使用刻度尺寸x;使用每个点的时间为0.02秒来计算T。

测量对接计时器加速度的计算公式
该公式可用于计算加速度。该解决方案的关键是了解公式中每个数量的含义。 x是连续和相等时间间隔的位移; m和n是下标,指第一部分的位移; T是两个计数点之间的时间间隔。如果两个计数点之间有5个时间点,则t = 0.1s。
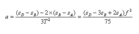
例子。 (2010年重庆,22)学生使用点计时器来测量均匀加速线性运动的对象的加速度。电源频率f = 50Hz用于在在线皮带上打印的点之间选择零点,每4分每4点取1个计数点。由于存储不当,纸带被污染。如图1所示,a,b开yunapp体育官网入口下载手机版,c和d是按顺序排列的4个计数点,只能读取3个计数点和零点之间的距离。
使用对接计时器测量加速度实验纸带对接记录
①两个相邻计数点之间的时间间隔为____________
②当点C点时,对象的速度为_____________ m/s(取2个有效数字)
③物体的加速度是___________
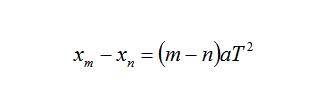
分析:③均匀加速运动的位移特征是,相邻相等时间间隔内的位移随着AT2的均匀增加而增加

停靠计时器的位移,加速度和对接周期之间的关系
根据在两个平等间隔内相邻位移与加速度的差异之间的关系,可以得出结论,

加速度的最终推导
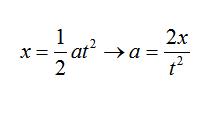
解决方案2:使用基本公式测量加速度
该解决方案是使用基本公式变形,然后使用尺度,秒表和光电等工具来测量位移x和时间t来测量加速度。
例子。 (2011年大学入学考试·重庆科学综合论文)一名学生设计了该设备,如图3所示开元棋官方正版下载,使用仪表标尺,秒表,轻绳,轻带绳,轨道,轨道,滑块,滑块,托盘和重量来确定滑块和轨道之间的动态摩擦因子μ。滑块和托盘上分别有几个权重。滑块质量为m,滑块上的重量总重量为m',托盘的总重量和Intratray重量为m。在实验中,滑块在水平轨道上从A到B的初始速度零速度均匀,重力加速度G为10m/s2。

使用基本公式测试加速度
(1)要测量滑块的加速度A,必须测量其在A和B之间运动的位移和时间。计算A的运动学公式为_____;
分析:(1)滑块执行均匀加速的线性运动,其初始速度为零,从水平轨道上的A到B,

使用基本公式测量加速度公式
根据上述公式,可以计算加速度的大小,并且只有位移和时间才能测量。
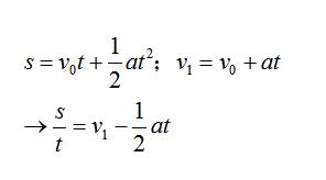
解决方案3:测量加速度的图像方法
该解决方案使用数学函数的直观图像来测量加速度,通常使用主函数的斜率。例如,如果使用了VT图像,请将公式V = V0+与第一个函数y = kx+c进行比较以获得A = K; S/TT图像。

测量加速度方程的图像方法
将上述公式与第一个函数y = kx+c进行比较,以实现a = 2的。
例子。 (2011大学入学考试·广东科学综合论文)图5是在“研究统一可变速度线性运动”实验中获得的纸带。 O,A,B,C,D和E是纸带上的六个计数点。加速度幅度由a表示。
(2)该图是根据实验数据绘制的S-T2图线(S是每个计数点和同一点之间的距离),斜率表示________,其大小为_______ m/s2(保留三个重要数字)。

测量加速度的图像方法
分析:(2)加速度为一半,1/2a = k = 0.467,因此a = 0.933m/s2
结论
如果您想很好地学习加速主题。有必要从加速度的定义,加速度对运动形式的影响,加速度的计算和加速度的矢量合成中充分学习和深入了解。加速度是速度变化与发生时间的变化之比,加速度的方向和速度变化的方向是相同的。如果对象的加速度与初始速度方向不同,则运动形式不同。在均匀线性运动,均匀的线性运动,均匀的圆形运动,扁平运动或扁平运动的运动中的加速度计算是不同的。加速度的向量合成和分解遵循平行四边形和三角形的规则。测量加速度的三种方法。
参考
人民教育出版社一般高中课程标准实验教科书“物理”强制性。