【NFX CFD与流体力学】:超!超!超!详细的非牛顿流体模型使用方法

midas NFX是一款集结构、热学、流体和优化设计于一体的有限元仿真分析软件,midas NFX CFD是计算流体动力学求解器的高级模块。它采用独特的有限元方法(FEM)进行编程,并与midas NFX程序中的结构求解器相结合,形成集成的图形用户界面(GUI),并提供全中文界面。是一款易学、易用、实用的CFD软件。
牛顿流体与非牛顿流体的区别在之前的文章【NFX CFD与流体力学】:牛顿流体与非牛顿流体中介绍过。然而,许多读者对于软件中非牛顿流体函数的使用仍然存在疑问。本文将详细介绍非牛顿流体函数的具体使用。
选择非牛顿流体时开元棋官方正版下载,midas NFX CFD 支持幂律、CarreauYasuda 模型、交叉模型、Herschel-Bulkley 模型和粘度曲线 5 种模型。

midas NFX CFD 的 5 个表观粘度 eta 模型
表观粘度eta
非牛顿流体的粘度μ随剪切速率γ′和剪切应力τ的变化而变化,因此用流动曲线上某一点的τ与γ′之比来表示某一数值下的粘度。这种粘度称为视觉粘度,用 eta 表示:
τ=ηγ′
η=τ/γ′
下面介绍一下各模型参数的含义:
①幂律(Ostwald-De Wale幂律):
幂律模型适用于各种剪切变形率下的假塑性或胀流流体。
由于其公式简单,在工程上具有很大的实用价值。但由于它是一个纯粹的经验方程,物理意义不够明确。
另外,幂指数定律不适用于剪切率很大或很小的情况。

一致性指标:k,也称一致性系数。 k值是粘度的量度,但它不等于粘度值。粘度越高,K值越高;
幂律指数:n,即流动行为指数或非牛顿指数,是与温度有关的参数。 n与1的偏差越大,材料的非牛顿性质越强。 ;
当n>1时,幂律方程反映剪切增稠胀流塑性流体(如淀粉、蔗糖溶液、油漆等);
当n时,幂律方程反映的是剪切稀化假塑性流体(如大多数聚合物、番茄酱等);
当n=1时,幂律方程反映牛顿流体k=η0;
最小粘度:幂律模型下适用于流体的最小粘度开yun体育官网入口登录app,当n>1时必须输入;
最大粘度:幂律模型下适用于流体的最小粘度,n
大多数聚合物流体是假塑性流体,可用幂律方程描述,其流动行为指数n=0.15~0.6。

② Carreau 安田模型:
Carreau Yasuda 方程反映了高剪切速率下的假塑性和低剪切速率下的牛顿行为。能够描述比幂律方程更广泛的流动特性。

幂律指数:n,为流动行为指数或非牛顿指数,一般为n;
时间常数:λ又叫弛豫时间,是指材料受力变形,外力去除后恢复正常状态所需的时间;
零剪切粘度:η_0,又称第一牛顿粘度。当剪切速率很小时,聚合物的粘度较大,通常为固定值,因此常作为聚合物粘度的标准;
无限剪切粘度:η_∞,又称第二牛顿粘度。当剪切速率很大时,聚合物大分子链容易发生降解,有时可设为0;
安田指数:a,控制从第一牛顿流动区到剪切稀化指数区的粘度转变速度的常数(当a<1时,过渡区扩大),当a为2时,为Carreau模型。

例如:下图是3%乳清分离蛋白和0.4%黄原胶的假塑性溶液的粘度曲线。

若采用Carreau-Yasuda流变方程拟合,则拟合参数如下:

Carreau Yasuda 模型适用于聚合物的剪切稀化行为,是最常用于表征人体血液粘度的非牛顿模型之一。

不同型号血液粘度测量数据对比
(图片摘自G. Mach等人在COMSOL年度用户大会2016慕尼黑站上所做的演示工作)
③ 交叉模型:
Cross模型可以全面描述“S”形流量曲线响应的转折点。它广泛应用于石油化学工业,通常用来描述沥青等热塑性材料。

幂律指数:n,为流动行为指数或非牛顿指数。 n可以取大于1或小于1的值;
时间常数:λ又叫弛豫时间,是指材料受力变形,外力去除后恢复正常状态所需的时间;
零剪切粘度:η_0,又称第一牛顿粘度。当剪切速率很小时,聚合物的粘度较大,通常为固定值,因此常作为聚合物粘度的标准;
Cross模型还有其他的表达形式,如Cross-Exp模型、Cross-WLF模型等。
交叉实验模型:

跨WLF模型:

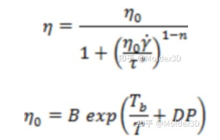
④ 赫歇尔-巴尔克利模型:

Herschel-Bulkley 模型可以描述具有屈服应力的剪切稀化或剪切增稠流体。
当模型中的流动行为指标n=1时,Herschel-Bulkey模型将退化为Bingham模型,可以用来描述Bingham流体。

一致性指标:k开元ky888棋牌官网版,也称一致性系数。 k值是粘度的量度,但它不等于粘度值。粘度越高,K值越高;
幂律指数:n是流动行为指数或非牛顿指数,是与温度有关的参数。 n偏离1越大,材料的非牛顿性越强;
当n>1时,为广义宾汉流体的剪切稠化;
当n时,为广义宾汉流体的剪切稀化;
当n=1时,为理想宾汉流体;
屈服应力:τ_0,只有当外力超过此应力时才会发生流动;
临界剪切速率:γ′_0,屈服剪切速率,流动开始时的剪切速率。

线性坐标中的典型 Bingham 和 Herschel-Bulkley 模型拟合
⑤ 粘度曲线:输入粘度和剪切速率的离散数据点。
有许多非牛顿流体模型。如果遇到软件没有提供的模型,可以在Excel表格中进行编辑,通过粘度曲线进行定义。

一些常见的流量模型


这次本来想跟大家分享一个案例,但是篇幅太长了。下次我一定会这样做。
。


你说的没有证据,你为什么不先热热身呢?

水滴自由落下

非牛顿流体自由落体

非牛顿流体注射过程
参考:
[1] J. Sepulveda、A. Montillet、D. Della Valle、C. Loisel、A. Riaublanc,微流体装置内高通量非牛顿流体中气液界面的变形以及膨胀对气泡的影响分解机制,化学工程科学(2019)。
[2] 白皮书 – 了解屈服应力测量。
[3]Moldex3D模流分析知识点百科-材料特性与模型(1/4) - 知乎(zhihu.com)
[4]A13C2A29F91287E8DEC1A117259_269C7DBF_C13EB.pdf(hzau.edu.cn)
本文部分图片来自网络,已删除!
欢迎交流!