pg下载 【JY】超详细的非牛顿流体模型使用方法
本篇文章将详细介绍非牛顿流体函数的具体使用方法。
有幂律,幂律属于一种常见的非牛顿流体,还有CarreauYasuda模型,它也是常见的非牛顿流体,再有交叉模型,同样是常见的非牛顿流体类型。另外,HerschelーBulkley模型,它还是常见的非牛顿流体范畴里的,5种模型中还有粘度曲线,它也是常见的非牛顿流体中的一种 。
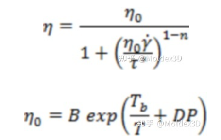
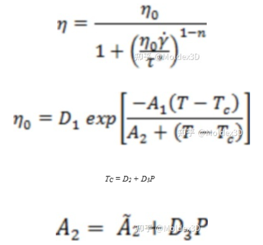
表观粘度η
非牛顿流体的粘度μ会跟着剪切速率γ′以及剪切应力τ产生变化,因此采用流动曲线上某一点的τ与γ′的比值去表示在某一值时的粘度,这般的粘度被称作表观粘度,用η来表示 。
τ=ηγ′
η=τ/γ′
下面将介绍各模型的参数的含义:
① 幂律(Ostwald-De Wale幂律):
幂律模型适用于广泛剪切变形速率下的假塑性流体或胀塑性流体。
因它于公式方面具备简单性,故在工程范畴具备较大得实用价值,可是鉴于其为一个纯粹得经验方程,于是物理意义并非足够明确。
另外,对于切变率很大或很小的情形,幂指数定律都不适用。
一致性指数为k,它也被称作稠度系数,k值是对粘度的一种度量,然而它并不等同于粘度值,并且存在这样的情况pg下载官方版打开即玩v1022.速装上线体验.中国,即粘度越高的时候pg下载,K值也就越高 。
幂律指数是n,它作为流动行为指数或者非牛顿指数,是和温度相关并且存在于流动行为或者说是非牛顿指数之中的包含于和温度有关的参数里的参数,n偏离1的程度越大,那么表明材料非牛顿性越强 。
在n大于1的情况下,体现剪切变稠特性的胀塑性流体,像淀粉、蔗糖溶液、涂料等,幂律方程对其予以反映 。
什么时候是当n啦,幂律方程所反映的是那种剪切变稀的假塑性流体,像大多数聚合物,番茄酱这类的喽。
当n=1时,幂律方程反映牛顿流体k=η0;
最小粘度,是流体于幂律模型之下适用的最小粘度,当n大于1的时候,此最小粘度是必须要输入的,。
最大粘度:流体在幂律模型下适用的最小粘度,n
有的高分子流体属于假塑性流体,幂律方描述的当中,假塑性流体涵盖多数高分子流体,其流动行为指数n取值范围是0.15至0.6 。

② Carreau Yasuda模型:
Carreau Yasuda方程,它反映高剪切速率之时的假塑性,它还反映低剪切速率之际的牛顿性。它能够描写比幂律方程范围更为广阔的流动性质。
幂律指数:n,为流动行为指数或非牛顿指数,一般n;
时间常数是λ,它也被称作松弛时间,其含义是材料在受力发生变形后,当外力解除时,恢复到正常状态所需要耗费的时间 。
当剪切速率极小的时候,聚合物的粘度会呈现出较大的状态,并且一般常常是作为一个固定数值存在的,而这个固定数值所对应的聚合物粘度的标准,被称作零剪切粘度,其符号表现为η_0,也拥有第一牛顿粘度这样的称谓。
无限剪切粘度,即η_∞,它也被称作第二牛顿粘度,当剪切速率极大的时候,聚合物大分子链易于出现降解的情况,有时能够取值为0 。
Yasuda指数为a,它是一种常数,这个常数用于控制从第一牛顿流动区到剪切变稀指数区域的粘度转变速度pg下载麻将胡了,当a小于1时,转变区域会扩大,而当a取2时,就是Carreau模型。

下如图示,乃为,百分之三乳清蛋白分离物,以及,百分之零点四黄原胶假塑性溶液,之粘度曲线 。

假使运用Carreau - Yasuda流变方程来开展拟合,那么拟合之后的参数是这样的:

Carreau Yasuda模型适用于高分子聚物体现出的剪切变稀情形,并且它是常用于表征人体血液粘稠程度的非牛顿模型当中的一个 。

不同模型血液粘度值测量数据的对比
图片摘取自,G. Mach等人员,于COMSOL用户年会2016慕尼黑站,所发表的演示作品。
③ 交叉模型:
交叉即Cross模型,它能够对“S”形流动曲线反应所呈现的转折予以全面描述,在石油化工领域有着较为广泛的应用,常常被用于对沥青等热塑性材料进行描述。
幂律指数是n,它属于流动行为指数或者非牛顿指数,并且这个n能够取大于1的数值,同时也能够取小于1的数值,。
时间常数:λ,也称松弛时间,指材料受力变形,外力解除后恢复正常状态所需的时间;
零剪切粘度:η_0,也称第一牛顿粘度。剪切速率很小时,聚合物粘度较大,且通常为一个定值,所以常作为聚合物粘度的标准;
交叉模型存在着一些别的表达形式种类情形,比如说,有Cross - Exp模型,还有Cross - WLF模型 。
Cross-Exp模型:

Cross-WLF模型 :

④ Herschel-Bulkley模型:

Herschel - Bulkley模型可用来描述那样的流体,那种流体带有屈服应力,呈现剪切变稀现象,有些还呈现剪切增稠现象。
若模型里的流动行为指数n值为1,那么Herschel - Bulkey模型会退化成为Bingham模型,而此Bingham模型能够用以描述宾汉流体。
一致性指数:k,也称稠度系数。k值是粘度的度量,但不等于粘度值,而粘度越高,K值也越高;
幂律指数是n,它是流动行为指数或者非牛顿指数,它是与温度有关的参数,n偏离1的程度越大,那么表明材料的非牛顿性就越强 。
当n>1时,为广义宾汉流体剪切变稠;
当n时,为广义宾汉流体剪切变稀;
当n=1时,为理想宾汉流体;
屈服应力:τ_0,只有当外力超过该应力才发生流动;
γ′_0,此为临界剪切速率,称屈服剪切速率,乃开始流动时所对应的剪切速率 。

把具有典型性的Bingham模型,以及Herschel - Bulkley模型,在呈线性状态的坐标情况下去进行拟合 。
⑤ 粘度曲线:输入粘度与剪切速率的离散数据点。
存在着诸多非牛顿流体模型,要是碰到软件未曾提供的模型,那么先在Excel表格里编辑妥当,而后经由粘度曲线予以定义 。

一些常见的流动模型
本来想这次给大家分享下案例,奈何篇幅太长,下次一定


口说无凭,要不先预热一下吧

水滴自由下落

非牛顿流体自由下落

非牛顿流体注液过程
参考资料:
包含Moldex3D模流分析知识点大百科里材料性质与模型这部分内容的,其中处于第1部分共4部分里的,一个来自知乎(zhihu.com)的相关内容 , 。
位于华中农业大学官网(hzau.edu.cn)的一个文件,其文件名是A13C2A29F91287E8DEC1A117259_269C7DBF_C13EB.pdf , 。