pg下载麻将胡了安卓专属特惠.安卓应用版本.中国 既能低频通信、又能高效传输无线电能的新技术!适用于海洋等领域
把电能从发射端传至负载接收端的无线电能与信息同步传输技术,能达成数据同步通信,于无线能量传输加密、植入式医疗设备、物联网传感器供电等领域,有着广阔应用前景。

研究背景
按照无线通信的达成途径,近场耦合式无线电能与信息同步传输技术能够主要划分成“调制信号注入式”,“独立耦合通道式”,和“能量调制式”这三大类别,在像空地太阳能传输这般的特殊应用场景,以及海洋这种高电导率富水介质的地方,基于低能量的高频载波工作样式通讯可靠性差,然而能量调制式可靠性相对较高。
论文所解决的问题及意义
本文针对在不一样频率输入激励情形下系统发射线圈的电流特征展开研究,进而提出了一种借助移相调制的无线电能以及信息同步传输技术。处于通信状态时,借助降低逆变器工作频率去构建低频通信载波,并且凭借控制移相角达成信息调制,依靠基波来传输信息,利用3次谐波传输电能。本文所给出的方法在基于低频电磁波通信之际能够实现高效率的无线电能传输,在海洋等高电导率介质场合具备应用优势。
论文方法及创新点
1)工作在不同频率下时的发射线圈电流特征

图1 不同工作频率发射线圈电流分量构成
处于谐振状态之时(fr = 150kHz),高频逆变器工作,其发射电流当中主要含有的是基波且幅值为最大值,就如同图1(a)体现的那样;当把工作频率降低至fr / 3的时候,基波以及其他高次谐波产生了,这个时候3次谐波分量的幅值是最大的pg下载麻将胡了A.旗舰厅进体育.cc,如图1(b)所显示的情况;同样的道理,当把工作频率降低至fr / 5的时候,基波与3次谐波等其他高次谐波生成了,此时5次谐波分量的幅值是最大的,见图1(c)。从这里能够明显看出来,降低频率能够在发射的线圈当中产生低频的部分,这低频部分是用来进行通信的,而与系统产生谐振的相同的高频部分则能够被用于给负载供应电力。
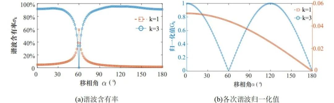
2)移相角对各次谐波的影响分析

图2 移相角α对发射电流中各次谐波的影响
以逆变器工作频率是 fr/3 这种情况作为例子,来剖析移相角α对于发射电流里边的基波以及 3 次谐波所产生的影响。能够看到,随着α不断变大,发射电流当中的基波含有率σ1 先是增大随后减小,然而σ3 却是先减小而后增大,就如同图 2(a)所展示的那样;从图 2(b)能够知道,α能够有效地去调节发射电流里基波以及 3 次谐波的幅值。所以选择把基波当作通信载波,通过控制α对其幅度开展调制很容易去实现信息传输,除此之外,为了确保功率传输具备稳定性,α的选取应该尽可能让 3 次谐波幅值得以保持不变。
3)供电与通信之间的串扰分析
接收侧同时接收基波与3次谐波能量,这让供电和通信回路之间存在一定串扰,能得出,可通过合理选取信号检测回路电感参数有效调节噪声电压,实现供电与通信间的弱耦合控制,且噪声电压峰值远低于有效电压峰值pg下载,如图3和图4所示。

图3 负载回路

图4 信号检测回路
4)实验验证
构建了实验平台,目的在于验证所提方案的可行性,情况如图5(a)所示,图5(b)呈现出了实验所测量的关键波形,信息调制对于负载电压没有显著的影响,信号电压的幅值包络能够被很好地检测到,另外,当系统相关参数发生改变的时候,也就是输入电压、负载电阻、耦合线圈相对位置发生改变的情况下,系统依旧能够维持正常的工作状态,实验结果证实了所提方案的可行性。

图5 实验平台及实验结果
结论
有一种基于移相调制的无线电能与信息同步传输技术,是本文所提出的。降低逆变器工作频率,以此在发射线圈中生成基波分量,将其作为低频通信载波。通过控制移相角,来完成信息调制并传输信息,利用3次谐波分量传输电能。搭建的实验平台验证了本文所提方案具有可行性,能在基于低频电磁波通信之际实现具备较高效率的电能传输,在像海洋等对于电磁载波频率敏感的场合凸显优势。
团队介绍
南京邮电大学自动化学院,以及人工智能学院赫兹科技实验室,长久以来专注于人工智能技术,还有通信技术,和电力电子技术等跨学科研究领域的相关工作,于无线能量信息协同传输技术方面,在新能源发电技术方面,在射频功放包络线跟踪电源技术方面,在高频磁芯损耗建模等领域pg下载麻将胡了,获取得到了较为出色的研究成果,这些工作都是该团队深入探索与钻研的结晶 ,在最近这些年里,这个团队完成了多个来自国家级的,省级的,以及企业的研究项目。
该论文的通讯作者是周岩教授,他同时是博士生导师,还是院长助理,并且担任IEEE PES智能电网与新技术集成应用分委会常务理事,也是江苏省智能电网信息工程综合训练中心主任。
2023年,第16期,《电工技术学报》上发表了本工作成果,此发表成果的论文标题是“基于移相调制的无线供电与信息协同传输技术”。本课题获得了国家自然科学基金的支持,同时,也得到了江苏省自然科学基金的支持。