既能低频通信、又能高效传输无线电能的新技术!适用于海洋等领域
无线能量与数据传输方法能够将电力从源头送往接受方,并同步完成信息交流,在保障能量传输安全、支持植入医疗装置、为物联网设备供能等方面展现出巨大的发展潜力。

研究背景
依据无线传输的不同方法,近场耦合无线电与信息同步传送技术大致能够分为三种主要类型,分别是“通过调制信号注入”、“利用独立耦合路径”以及“采用能量调制”。在诸如空中地面太阳能传送、海洋这类高电导率且富含水分的介质等特殊应用场景中,基于低能量高频载波的工作模式通信效果欠佳,而使用能量调制的方式通信效果则更为稳定可靠。
论文所解决的问题及意义
本文考察了系统发射线圈电流在不同频率输入激励下的表现,据此设计了一种利用移相调制实现无线电能与信息同步传输的新方法。当系统处于通信模式时,通过减小逆变器工作频率来形成低频通信载波,同时调节移相角进行信息编码,选择基波作为信息传输通道,而三次谐波则承担电能传输任务。本方案能够兼顾低频电磁波通讯与高效无线电力传输,在电导率高的海洋等环境中展现出实用价值。
论文方法及创新点
1)工作在不同频率下时的发射线圈电流特征

图1 不同工作频率发射线圈电流分量构成
高频逆变器处于谐振工况下(频率为150kHz),输出电流以基波成分为主且峰值最高,如图1(a)所示;若将工作频率调低至原来的三分之一,会产生基波以及多种高次谐波,其中三次谐波的幅值达到最大值,如图1(b)所示;同样地,当工作频率进一步降低到五分之一时,电流中包含基波和三次谐波等多种高次谐波成分,而五次谐波的幅值最为显著,如图1(c)所示。这表明,通过降低频率,发射线圈能够产生低频部分用于联络,与此同时,与系统共振性质相同的高频部分则可以用来为用电器提供能量。
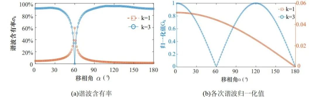
2)移相角对各次谐波的影响分析

图2 移相角α对发射电流中各次谐波的影响
以变频器运行频次为三分之一为例,探讨相位差θ对输出电流中主波与三次谐波的关联性。可以观察到,当θ值增加时,输出电流中主波占比ρ1呈现先升后降的趋势,而三次谐波占比ρ3则表现出先降后升的现象,如图2(a)所示;根据图2(b)的信息,θ能够显著控制输出电流中主波与三次谐波的峰值大小。所以采用基频作为信息传输媒介,通过调整α值来控制其强度,能够方便地传递数据,同时开yunapp体育官网入口下载手机版,为了确保能量传输的可靠性,需要将α值设定为使三次谐波的强度不受影响。
3)供电与通信之间的串扰分析
接收端同时接收基波和三次谐波能量,造成供电与通信线路间产生干扰现象。可以观察到开元ky888棋牌官方版,干扰电压的顶点值显著小于有用电压的顶点值,并且合理设定信号检测回路的电感数值能够有效控制干扰电压,达成供电与通信的微弱关联调控,如图3和图4所示。

图3 负载回路

图4 信号检测回路
4)实验验证
建立了测试环境来确认方案的有效性,参见图5的(a);图5的(b)展示了测试得到的核心波形,信号编码对输出电压没有明显干扰,信号强度的变化曲线能够被准确识别。不仅如此,即使系统相关指标出现变动(比如输入电平、负载阻抗、耦合线圈间距),系统依然能够稳定运行,测试数据证实了方案具备实用价值。

图5 实验平台及实验结果
结论
本篇研究介绍了一种利用移相调制实现无线能量和信息同步传输的新方法,采用降低逆变器工作频率的方式,在发射线圈里产生基波成分作为低频通信的载体开yun体育app入口登录,借助调控移相角度来调制并传送数据,同时借助三次谐波成分来传输电力。实验平台的建设证实了本方案的有效性,借助低频电磁波进行信息交互,并达成高效的能量传送,在海洋等对电磁波敏感的环境里展现出显著好处。
团队介绍
南京邮电大学自动化学院与人工智能学院的赫兹科技实验室,持续开展人工智能、通信及电力电子等交叉学科探索,在无线能量与信息联合传输、新能源发电、射频功率放大器包络跟踪供电、高频磁芯损耗仿真等方向,收获了丰硕的科研成效。近些年,这个集体承接了众多国家层面、省级以及公司层面的科研任务。
该论文的主要联系人是周岩教授,他同时担任博士生导师和院长助理,并且是IEEE PES智能电网与新技术集成应用分委会的常务理事,此外,他还担任江苏省智能电网信息工程综合训练中心的主任。
这项研究的主要成果刊登在2023年16卷《电工技术学报》上,文章的题目是“利用移相调制的无线能量传输和信息共享技术”。该研究项目获得了国家自然科学基金以及江苏省自然科学基金的资助。