生活应用 第52页

pg下载官方版打开即玩v1022.速装上线体验.中国 第七节 多普勒效应和多普勒超声成像技术

pg下载官方版打开即玩v1022.速装上线体验.中国 第七节 多普勒效应和多普勒超声成像技术

生活应用 47
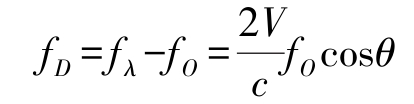
第七节 多普勒效应和多普勒超声成像技术 在超声多普勒诊断里,物理基础是多普勒效应。波源跟观察者之间有相对运动,这会致使观察到的波动频率出现变化,此现象叫多普勒效应。它是一种在声波、光波等各类波动现象当中普遍存在的物理现象。光波传播速度极快,所以光波的多普勒现象得用狭义相对论的方法去研究。声源有运动,介质有运动...
pg下载赏金下载 岳阳市科技馆

pg下载赏金下载 岳阳市科技馆

生活应用 49
一、展品科学原理 你瞧,这是一件特别新奇有趣的有关力学方面的展品。观众要先去仔细观察 ,然后深入思考锥体沿着倾斜轨道向上滚动的这种现象。如此一来 ,可进一步加深对于那种在重力场当中 ,物体始终会凭借降低自身重心来求取稳定的自然规律的了解。首先得观察这件展品的结构 ,它是由放置在水平桌面上的两条呈现倾斜状态的...
pg下载麻将胡了 锥体上滚的实验报告范文(实用应用文)

pg下载麻将胡了 锥体上滚的实验报告范文(实用应用文)

生活应用 44
锥体上滚的实验报告范文 文档信息 主题: 关于“办公文档”中“求职简历”的参考范文。 属性是文 -07HERK,其格式为 doc 格式,正文有 3045 字,具备质优实惠的特点,欢迎进行下载! 目录 将目录列为,其序号是,展现为,呈现出,目录所对应的内容是 1 ,这样的一种形式。 我提供的内容似乎并不是普通的...
pg下载 第二届美的创见大赛收官 无线电能传输前景如何?

pg下载 第二届美的创见大赛收官 无线电能传输前景如何?

生活应用 40
经济观察网有记者李华清,在11月4日晚的时候,第二届美的创见大赛总决赛进行了全球直播,直播结束了,进入总决赛的队伍有8强,其中昆明理工大学的“昆工新能源”战队拿到了桂冠,得到了20万元的科技奖金以及美的套系家电。 经经济观察网记者知悉,美的创见大赛以及美的科技创新挑战赛,乃是美的集团针对高校以及全社会人才所...
pg下载官方版打开即玩v1022.速装上线体验.中国 无线输电技术备受关注 有望加快在家电等领域应用

pg下载官方版打开即玩v1022.速装上线体验.中国 无线输电技术备受关注 有望加快在家电等领域应用

生活应用 43
21世纪经济报道记者叶碧华 实习生梁饶川 广州报道 近日,在第二届“创见大赛”期间,哈尔滨工业大学教授朱春波接受21世纪经济报道记者采访时pg下载通道,表明,关于我们无线输电产品,当下它的产量、产值并非不高,从统计数据方面来看,其中中国企业的数量在全世界比重里是最高的,然而自主投入的研发资源却极为稀少,目前仍...
pg下载麻将胡了安卓专属特惠.安卓应用版本.中国 既能低频通信、又能高效传输无线电能的新技术!适用于海洋等领域

pg下载麻将胡了安卓专属特惠.安卓应用版本.中国 既能低频通信、又能高效传输无线电能的新技术!适用于海洋等领域

生活应用 45
把电能从发射端传至负载接收端的无线电能与信息同步传输技术,能达成数据同步通信,于无线能量传输加密、植入式医疗设备、物联网传感器供电等领域,有着广阔应用前景。 研究背景 按照无线通信的达成途径,近场耦合式无线电能与信息同步传输技术能够主要划分成“调制信号注入式”,“独立耦合通道式”,和“能量调制式”这三大类别...
pg下载官方认证 人教版初中数学八年级下册(2024)20.1.1 勾股定理 教案设计(表格式)

pg下载官方认证 人教版初中数学八年级下册(2024)20.1.1 勾股定理 教案设计(表格式)

生活应用 39
《20.1勾股定理》的教学设计,一、是对教学内容进行解析,勾股定理是人教版义务教育课程标准实验教科书八年级下册第20章第1节所包含的内容,它属于平面几何有关度量方面最为基本的定理pg下载官方版打开即玩v1022.速装上线体验.中国,它从边这个角度又更为深入地刻画了直角三角形的特征。学习勾股定理是为了能够进一步...
pg下载麻将胡了安卓专属特惠.安卓应用版本.中国 睡眠神器!南卡骨传导音响,不扰人还助眠

pg下载麻将胡了安卓专属特惠.安卓应用版本.中国 睡眠神器!南卡骨传导音响,不扰人还助眠

生活应用 55
不少人夜里有着非得听些声响方才能够入眠的习性,然而开外放会惊扰到枕边一道休息的人,佩戴耳机又极易致使耳朵胀痛,时间一长还会疼痛。一直到尝试了南卡的骨传导睡眠音响,才寻觅到解决此一问题的法子。 它运用的是骨传导技术,不存在传统扬声器,依靠内置的骨传导传感器以及介质共振来传声。若将其放置在枕头下面,声音会经由枕头...
pg下载官方版打开即玩v1022.速装上线体验.中国 18.1 勾股定理 第1课时 教学设计(表格式)初中数学沪科版(2024)八年级下册

pg下载官方版打开即玩v1022.速装上线体验.中国 18.1 勾股定理 第1课时 教学设计(表格式)初中数学沪科版(2024)八年级下册

生活应用 36
教学设计 学科 数学 年级 八年级 教材版本 沪科版 课题名称 勾股定理 课时 第1课时 讲解的内容是,探寻直角三角形三边里存在的特殊数量关系,也就是勾股定理,运用多种方式去证明勾股定理,还有勾股定理的简单运用。 有一本名为教材分析的内容,其中明确指出勾股定理乃是在直角三角形范畴内极为关键的性质,它清晰地表明...
pg下载 关于勾股定理说课稿集合5篇

pg下载 关于勾股定理说课稿集合5篇

生活应用 40
关于勾股定理说课稿集合5篇 身为一名勤勤恳恳的人民教师,往往会被要求去编写说课稿,说课稿对学生领会并掌握系统的知识是有帮助的。那么你知晓过说课稿吗?下面是小编搜集整理的5篇勾股定理说课稿,供大家参考借鉴,期望能够帮到有需求的朋友。 勾股定理说课稿 篇1 各位专家领导,上午好:今天我说课的课题是《勾股定理》...